发布时间:2025-03-31

本指导原则旨在指导注册申请人对ALDH2基因多态性检测试剂注册申报资料的准备及撰写,同时也为技术审评部门提供参考。
本指导原则是对ALDH2基因多态性检测试剂的一般要求,申请人应依据产品的具体特性确定其中内容是否适用。若不适用,需具体阐述理由及相应的科学依据,并依据产品的具体特性对注册申报资料的内容进行充实和细化。
本指导原则是供注册申请人和技术审评人员使用的指导性文件,但不包括审评审批所涉及的行政事项,亦不作为法规强制执行,应在遵循相关法规的前提下使用本指导原则。如果有能够满足相关法规要求的其他方法,也可以采用,但是需要提供详细的研究资料和验证资料。
本指导原则是在现行法规和标准体系以及当前认知水平下制定,随着法规和标准的不断完善,以及科学技术的不断发展,相关内容也将适时进行调整。
一、适用范围
本指导原则适用于采用荧光探针PCR法,对需要服用硝酸甘油进行治疗的心绞痛患者静脉全血或口腔拭子等样本DNA中的ALDH2基因多态性进行体外定性检测的试剂,用于硝酸甘油的用药指导。通过对ALDH2*2(rs671,G1510A,Glu504Lys)多态性检测,携带ALDH2*2等位基因的心绞痛患者尽可能改用其他急救药物,避免硝酸甘油舌下含服无效。
本指导原则仅对用于硝酸甘油用药指导的ALDH2基因多态性检测试剂的相关要求进行了说明,由于该基因还存在其他位点的多态性,且目前临床意义不明确,可能部分要求不完全适用或本文所述技术指标不够全面,申请人可以根据产品特性对不适用部分进行修订或补充其他的评价和验证。
本指导原则的技术要求是基于荧光探针PCR方法建立的,对于其他分子生物学检测技术,可能部分要求不完全适用或本文所述技术指标不够全面,申请人可以根据产品特性对不适用部分进行或补充其他的评价和验证,但需阐述不适用的理由,并验证替代方法的科学合理性。
本指导原则适用于ALDH2基因多态性检测试剂注册申请和变更注册申请的情形。本指导原则针对相关产品注册申报资料中的部分内容进行撰写,其他未尽事宜应当符合相关法规要求。
二、注册审查要点
(一)监管信息
1.产品名称及分类编码
产品名称应符合《体外诊断试剂注册与备案管理办法》及相关法规的要求。根据《体外诊断试剂分类规则》,该产品按照第三类体外诊断试剂管理,分类编码为6840。
2.其他信息还包括产品列表、关联文件、申报前与监管机构的联系情况和沟通记录以及符合性声明等文件。
(二)综述资料
综述资料主要包括概述、产品描述、预期用途、申报产品上市历史及其他需说明的内容。其中,产品描述应详述技术原理、产品主要研究结果的总结和评价、与同类和/或前代产品的比较等。与同类和/或前代产品的比较应着重从技术原理、主要组成成分、预期用途、被测靶标(基因多态性位点)、性能指标、临床应用情况等方面详细说明申报产品与已获批准的同类/前代产品之间的主要区别。预期用途应详述基因多态性位点与临床适应证关系,明确野生型、杂合型以及纯合突变型的发生率等情况,特别是在中国人群的分布情况。
(三)非临床资料
1.产品技术要求及检验报告
注册申请人应当在原材料质量和生产工艺稳定的前提下,根据产品研制、前期评价等结果,依据相关文件资料,结合产品特性按照《医疗器械产品技术要求编写指导原则》的要求编写。该类产品作为第三类体外诊断试剂,应当以附录形式明确主要原材料以及生产工艺要求。
第三类体外诊断试剂应当提供三个不同生产批次产品的检验报告。目前已有适用的国家标准品发布,技术要求中应体现国家标准品的相关要求。可提交申请人出具的自检报告或委托有资质的医疗器械检验机构出具的检验报告。
2.分析性能研究
注册申请人应提交在符合质量管理体系的环境下生产的试剂盒进行的所有分析性能评估资料,包括具体试验方案、试验数据、统计分析结果及结论等详细资料。有关试验的背景信息也应在申报资料中进行描述,包括试验地点,采用的试剂名称、规格和批号,仪器名称和型号,样本的背景信息(来源、样本编号、样本类型、采集及处理方式、基因型和浓度确认方法及结果)等。分析性能评估用样本一般应为真实样本,如声称多种适用样本类型,注册申请人应针对不同样本类型分别完成性能评估研究。
分析性能评估的试验方法可以参考国际或国内有关体外诊断试剂性能评估的指导原则进行,对于本类产品建议着重对以下分析性能进行研究。
2.1样本稳定性及适用的样本类型
应充分考虑样本采集/处理、运输、保存等各环节的影响,确定样本的保存条件及保存时间并对样本稳定性进行充分验证。如样本提取后不立即进行检测,则还需对提取后的DNA稳定性进行充分研究。如声称多种适用样本类型,注册申请人应针对不同样本类型分别进行样本稳定性研究。
对于全血样本,如适用多种抗凝剂,建议通过同源比对研究对一定数量的临床样本验证各种抗凝剂的适用性。
2.2质控品的赋值
描述质控品的赋值过程,并提交三批产品的赋值研究资料。
2.3准确度
可通过申报产品与测序结果或已上市同类产品进行方法学比对研究,评价申报产品的准确度,样本应由若干份临床样本组成,样本类型应与产品适用范围一致,样本应涵盖所有检测位点的野生型、杂合型和纯合突变型。
2.4精密度
精密度评价应采用临床样本进行研究,样本应至少涵盖杂合突变型。试验操作应按照说明书执行,需包含核酸提取/纯化等样本处理步骤。
精密度评价需满足如下要求:
2.4.1对可能影响检测精密度的主要因素进行验证,除检测试剂(包括核酸提取/纯化组分)本身外,还包括仪器、操作者、地点、时间、检测轮次、试剂批次等。
2.4.2设定合理的精密度评价周期,并对批内/批间、日内/日间、不同操作者间和不同实验室间的精密度进行综合评价。
2.4.3用于精密度评价的临床样本至少设置检出限附近浓度和中/高浓度水平,检测结果应与预期结果一致。
2.4.4可结合产品的特点,对精密度指标评价标准做出合理要求,如CV值。
2.5检出限和检测上限
2.5.1检出限和检测上限的建立
ALDH2基因多态性检测试剂的检出限为:在满足一定的检测准确性和精密度的条件下,能够检出目标基因的人基因组DNA最低浓度。
可采用梯度浓度的人基因组DNA样本进行多次重复检测,确定95%检出率水平下的人基因组DNA最低浓度,即为检出限。系列稀释度应能够覆盖大部分检出概率区间(0~100%),可根据各浓度梯度检测结果直接判定,也可通过适当的模型(如Probit分析)和其他分析方法计算申报产品在设定概率下的检出限,一般在该检测浓度下应具有95%的检出率。
同时,申请人亦应评价ALDH2基因多态性试剂可准确检出的人基因组DNA浓度上限,即适当检出率水平下的人基因组DNA最高浓度。
应采用临床样本进行检出限及检测上限研究,至少包含杂合型样本。
2.5.2检出限的验证
选取与建立不同的临床样本对声称的野生型、纯合突变型和杂合型样本进行验证,建议对检出限附近浓度水平的样本进行至少20次的重复检测,应满足95%检出率要求。
2.6 分析特异性
2.6.1干扰研究
可通过在临床样本中添加干扰物质的方式,评价添加前后干扰物质对靶基因检测的影响。建议在每种干扰物质的潜在最大浓度(“最差条件”)条件下进行评价,如有干扰,应确定不产生干扰的最高浓度。对于口腔拭子样本,也可直接采集暴露于干扰因素后的受试者样本,进行干扰试验评价,如有干扰,在评估不影响临床使用的前提下,应在说明书检验方法局限性中予以明确。
应针对可能的内源和外源性干扰物进行干扰试验研究。干扰物的选择与所用样本类型有关,对于全血样本,内源性干扰物质应包括血红蛋白、甘油三酯、胆红素、白蛋白等,外源性干扰物质应包括抗凝剂、乙醇、乙醛、治疗药物等,对于治疗药物,建议选择β受体阻滞剂、硝酸甘油、其他硝酸酯类药物、钙通道阻滞剂药物、抗血小板药物(如:阿司匹林、氯吡格雷或替格瑞洛)、调脂药物(如:他汀类)等可能存在潜在干扰的药物进行充分研究。对于口腔拭子样本,干扰物需考虑血液、唾液、口腔定植菌以及口腔可能接触到的抗菌漱口液、牙膏、食物、药物(如:硝酸甘油、口腔喷雾剂)、烟草等。
2.6.2交叉反应
应对与靶基因序列相近或具有同源性,易引起交叉反应的基因序列(如:ALDH1、ALDH5以及ALDH2基因中除检测靶标外的其他突变位点)进行交叉反应研究。
试验方案需明确交叉样本的制备方法、核酸序列确认方式及结果,并提交详细的研究资料。
2.7核酸提取/纯化性能
在进行核酸检测之前,建议有核酸提取/纯化步骤。对配合使用的所有核酸提取试剂进行提取核酸纯度、浓度、提取效率的研究,必要时与质量较好的核酸提取试剂进行平行比对研究。
若产品适用两种或以上核酸提取试剂,则每一种核酸提取试剂均需配合检测试剂进行精密度、检出限和抗干扰的验证。
2.8企业参考品验证
根据主要原材料研究资料中的企业参考品设置情况,采用三批产品对企业参考品进行检验并提供详细的试验数据。
2.9反应体系研究
2.9.1样本采集和处理
请详述样本的采集及处理方式,明确样本的保存介质。
对于口腔拭子样本,还应提供采样拭子及样本保存介质(如:样本保存液)的选择研究,明确对拭子头和拭子杆的材质要求、保存液或裂解液的成分、浓度、使用量的要求等。配套的不同保存液或裂解液需验证检出限和重复性。
2.9.2反应体系
应依据产品特性,提供反应体系的确定研究资料。包括但不限于核酸提取用的样本体积、洗脱体积和PCR反应中样本和试剂的加样体积、各种酶浓度、引物/探针浓度、dNTP浓度、阳离子浓度及反应条件(如:温度、时间、循环数)等。
如有多个适用机型,需提供不同适用机型基线和阈值的确定资料。不同适用机型的反应条件如果有差异应分别详述,并提交验证资料。
3.稳定性研究
申报试剂的稳定性主要包括实时稳定性、开瓶稳定性、运输稳定性、机载稳定性(如适用)及冻融次数限制等研究,申请人可根据实际需要选择合理的稳定性研究方案。稳定性研究资料应包括具体的实施方案、详细的研究数据、分析结果以及结论。对于实时稳定性研究,应提供至少三批产品在实际储存条件下保存至成品有效期后的研究资料。
4.阳性判断值研究
对于此类试剂,阳性判断值即为能够获得理想的检测准确性的临界值(Cut-off)。应纳入涵盖野生型、纯合突变型和杂合型的临床样本,采用受试者工作特征(ROC)曲线的方式进行研究,亦可采用其他科学合理的方法进行阳性判断值研究。相关资料中应详述试验方案、样本数量、样本入组标准、样本背景信息(来源、可溯源编号、性别、年龄等)及试验结果等。
应针对不同样本类型(如有)分别进行阳性判断值研究,明确是否有差异。
如果试剂判读存在灰区,应解释说明灰区范围的确定方法。
5.其他资料
5.1主要原材料研究资料
该类产品的主要原材料包括引物、探针、酶、dNTP、核酸分离/纯化组分(如有)、质控品、参考品等。应提供主要原材料的选择、来源、制备过程、质量控制标准等相关研究资料。如主要原材料为企业自制,应提供详细的制备过程及支持性资料;如主要原材料源于外购,应提供资料包括:选择该原材料的依据及对比筛选试验资料、生产商提供的质量标准、出厂检验报告,以及该原材料到货后的质量检验资料。
5.1.1引物和探针:应详述引物、探针的设计原则,提供引物探针序列、靶基因序列及两者的对应情况。建议设计两套或多套引物探针以供筛选,针对待测位点的检测灵敏度和特异性等进行评价,选择最佳引物探针组合,并提交详细的筛选研究数据。同时应针对引物、探针核酸序列及检测靶序列进行同源性比对,如有同源序列应着重评价是否会有交叉反应。
申请人应针对选定的引物、探针原材料进行质量评价,一般包括:序列准确度、分子量、纯度、浓度、探针荧光标记的准确性以及功能性试验等,并依据评价结果建立合理的质量标准。
5.1.2脱氧三磷酸核苷(dNTP):包括dATP、dCTP、dGTP、dTTP或dUTP;应提交对其纯度、浓度以及功能性试验等资料,并确定质量标准。
5.1.3酶:可能涉及的酶包括DNA聚合酶、尿嘧啶DNA糖基化酶等,应分别对酶活性、热稳定性、功能性试验等进行评价和验证,并确定质量标准。
DNA聚合酶应具有DNA聚合酶活性,无核酸内切酶活性,具热稳定性。UDG/UNG应具有水解尿嘧啶糖苷键的活性,无核酸外切酶及核酸内切酶活性。
5.1.4质控品:ALDH2基因多态性检测试剂的质控品可分别设置野生型、杂合型及纯合突变型DNA样品,同时设置不含待测靶序列的空白质控品用于交叉污染的质控;亦可直接采用待测位点的杂合型DNA样品及空白质控品进行质量控制。
对于此类产品,一般情况下,反应体系中野生型序列和突变型序列均有阳性反应,可以对管内抑制导致的假阴性结果进行质量控制,则试剂盒中可不另外设置内标对照;否则,应另外设置内标对照。
质控体系应能够对检测全过程进行有效的质量控制,包括试剂及仪器性能、可能的扩增反应抑制物(管内抑制)、交叉污染等因素造成的假阴性或假阳性结果。质控品可采用质粒或临床样本的核酸提取液等。空白质控品应参与样本核酸的平行提取。申请人应针对质控品原料来源、选择、制备、定值过程等提供详细的研究资料,并对质控品的检测结果做出明确的范围要求。
5.1.5核酸提取/纯化试剂(如有):应提供试剂的主要组成、原理介绍及相关的筛选及验证资料。
5.1.6企业参考品:
该类产品的企业参考品一般包括准确性参考品、特异性参考品、检出限参考品和精密度参考品。应根据产品性能验证的实际需要设置企业参考品。
应提交企业参考品的原料来源、选择、制备、浓度及基因序列确认方法或试剂等相关研究资料。企业参考品的设置建议如下:
准确性参考品:可采用临床样本进行设置,样本类型与待测样本一致。应包含野生型、杂合型和纯合突变型样本。
特异性参考品:应考虑检测特异性的评价,适当纳入同源序列交叉反应样本、干扰样本等。
检出限参考品:可选择检出限或略高于检出限浓度的临床样本,需覆盖试剂盒声称的基因型。
精密度参考品:建议包括高、低两个浓度水平,其中一个浓度应为检出限附近的浓度。至少包含杂合型临床样本。
5.2生产工艺研究资料
可结合工艺流程图描述生产工艺过程。生产过程应对关键参数进行有效控制,明确关键工艺质控步骤,并详细说明该步骤的质控方法及质控标准。并提交主要生产工艺的确定及优化研究资料。
(四)临床评价资料
临床试验的开展、方案的制定以及报告的撰写等均应符合相关法规及《体外诊断试剂临床试验技术指导原则》的要求,如相关法规、文件有更新,临床试验应符合更新后的要求。
1.临床试验机构
应选择不少于3家(含3家)已备案的临床试验机构,按照相关法规、指导原则的要求开展临床试验。申请人应根据产品特点及预期用途,综合流行病学背景等因素选择临床试验机构。临床试验机构应具有分子生物学方法检测的优势,实验操作人员应有足够的时间熟悉检测系统的各环节,熟悉临床试验方案。
2.临床试验方法
有已上市同类产品的,建议申请人选择境内已批准上市的同类产品作为对比试剂,采用试验体外诊断试剂与之进行对比试验研究,评价申报产品的临床性能。对比试剂的选择应从预期用途、样本要求、检测性能等方面,确认其与申报产品具有较好的可比性。
如无已上市同类产品的,可以选择公认的参考方法(如Sanger测序法)作为对比方法。
3.受试者选择和样本类型
3.1受试者选择
受试者应为需服用硝酸甘油进行治疗的,具有心绞痛症状的冠心病、心力衰竭等疾病的患者。
3.2 样本类型
适用的样本类型一般为静脉抗凝全血,应采用相同样本类型的已上市同类产品进行比较研究。
如产品同时适用于口腔拭子,对于口腔拭子样本类型的评价,可与相同样本类型的已上市同类产品进行比较研究,也可与静脉全血样本类型的已上市同类产品进行比较研究;也可采用与申报产品的静脉全血进行同源比对的方式进行评价。
临床试验中应为临床原始样本,不应直接采用提取的基因组DNA进行试验。临床样本的采集、处理、保存和提取等应同时满足申报产品说明书以及对比试剂说明书(如适用)的相关要求。
4.临床试验样本量
临床试验样本量应满足统计学要求,可采用适当的统计学方法进行估算。根据相应临床试验设计,本临床试验可依据申报产品相对于对比试剂的突变型、野生型符合率分别估算最低突变型、野生型样本例数。
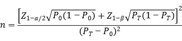
与对比方法进行的比较研究中,临床样本量的估算建议采用单组目标值法进行计算,突变型/野生型符合率的临床可接受标准(P0)建议不低于95%。

公式中,n为样本量;Z1-α/2、Z1-β为显著性水平和把握度的标准正态分布的分数位,P0为评价指标的临床可接受标准,PT为申报产品评价指标预期值。
临床试验总体样本量确定时应在上述突变型、野生型样本最低样本量估算的基础上,同时考虑其他可能造成受试者脱落的情况以及可能需要纳入的干扰样本、交叉反应样本等情况适当增加入组样本量。应注意杂合型和纯合型基因型均应有一定例数。
如申报产品适用于不同样本类型(如:静脉抗凝全血、口腔拭子),临床试验应以静脉全血样本类型为主按照上述样本量估算要求完成临床评价,针对口腔拭子样本类型,突变型和野生型样本量应分别满足统计学要求。
5.统计学分析
应对入组人群进行人口学分析,包括年龄、性别和临床诊断背景信息等。
总结野生型、杂合型和纯合突变型的例数,以3×3表分别总结两种试剂的定性检测结果,并分别计算各基因型的符合率、总体符合率及其95%置信区间,对定性结果进行kappa检验,以评价两种试剂检测结果的一致性。同时应将杂合型和纯合型汇总统计,并计算相应的95%置信区间。
在数据收集过程中,对于两种试剂检测结果不一致的样本,应采用合理方法进行复核,并对差异原因进行分析。如无需复核,应说明理由。
6.伦理学要求
临床试验必须符合赫尔辛基宣言的伦理学准则。研究者应考虑临床试验用样本的获得和试验结果对受试者的风险,提请伦理委员会审查,并获得伦理委员会的同意。注册申报时应提交伦理委员会的审查意见。
7.临床试验方案
各临床试验机构应执行同一临床试验方案,且保证在整个临床试验过程中遵循预定的方案,不可随意改动。整个试验过程应在临床试验机构的实验室内并由本实验室的技术人员操作完成,申报单位的技术人员除进行必要的技术指导外,不得随意干涉实验进程。
试验方案应确定严格的入选/排除标准,任何已入选的样本被剔除出临床试验都应记录在案并明确说明原因。在试验操作过程和结果判定时应采用盲法以保证试验结果的客观性。
8.质量控制
临床试验开始前,建议进行临床试验方案的培训,以熟悉并掌握相关试验方法的操作、仪器、技术性能等,最大限度控制试验误差。整个试验过程都应处于有效的质量控制下,最大限度保证试验数据的准确性及可重复性。
9.临床试验小结与报告的撰写
根据《医疗器械临床试验质量管理规范》《体外诊断试剂临床试验技术指导原则》的要求,撰写临床试验小结与报告,并且满足签章等要求。临床试验报告应该对试验的整体设计及各个关键点给予清晰、完整的阐述,应该对整个临床试验实施过程、结果分析、结论等进行条理分明的描述,并应包括必要的基础数据和统计分析方法。
(五)产品说明书
产品说明书格式应符合《体外诊断试剂说明书编写指导原则》的要求。产品说明书的技术内容应与注册申报资料中的相关研究结果保持一致,如某些内容引用自参考文献,应以规范格式对此内容进行标注,并单独注明文献的相关信息。ALDH2基因多态性检测试剂说明书编写应重点关注以下内容。
1.【预期用途】应至少包括以下几部分内容:
1.1本产品用于体外定性检测人体xx样本中的xx基因位点的多态性。
1.2介绍被测靶标(基因多态性位点),规范表述多态性位点,说明基因位点与临床适用症的关系,明确野生型、杂合型和纯合突变型的临床发生频率。
1.3明确本产品检测结果仅供临床参考,不应作为患者是否用药的唯一依据,临床医生应结合患者病情、疗效及其他实验室检测指标等对本产品的检测结果进行综合判断。
2.【检验原理】
2.1对试剂盒的被测靶标进行详细描述(基因位置、多态性位点及相关特征等),对试剂盒所用探针、引物、多态性的判定方式等进行详细的介绍;对不同样本反应管组合、质控品设置及荧光信号检测原理等进行介绍。
2.2如反应体系中添加了相关的防污染组分(如UNG酶),也应对其作用机理进行简要介绍。
3.【主要组成成分】
明确试剂盒中各组分及具体成分。明确需要但未提供的材料等信息。
4.【样本要求】
应明确样本采集、处理、保存等各环节要求,说明样本保存条件及期限等。冷藏/冷冻样本检测前是否需要恢复至室温,冻融次数的限制等。
5.【检验方法】
详细说明试验操作的各个步骤,包括:
5.1试验条件:必要时,应明确实验室分区、试验环境的温度、湿度和空调气流方向控制等注意事项。
5.2试剂配制方法和注意事项。
5.3详述核酸提取纯化的条件、步骤及注意事项(如适用),对核酸提取纯化环节进行合理的质量控制,明确提取核酸的浓度纯度等质量要求。
5.4扩增反应前准备:加样体积、顺序等。
5.5 PCR各阶段的温度、时间设置、循环数设置或相应的自动化检测程序及相关注意事项。
5.6仪器设置(如适用):特殊参数、探针的荧光素标记情况、对待测多态性及其他质控品的荧光通道选择等。
6.【检验结果的解释】
结合质控品、样本管检测结果以及多态性类型与硝酸甘油表型之间的关系,可以用列表形式详述所有可能出现的结果及相应的解释。
7.【检验方法的局限性】
7.1有关假阴性结果的可能性分析。
7.1.1不合理的样本采集、运送及处理或核酸过度降解均有可能导致检测失败。
7.1.2未经验证的其他干扰或PCR抑制因子等可能会导致假阴性结果(如有)。
7.1.3样本类型如包含口腔拭子,需说明吸烟、进食等行为可能对检测结果的影响。
8.【产品性能指标】
简述以下性能指标:
8.1国家标准品和企业参考品的符合率。
8.2对准确度、精密度的研究情况进行总结。
8.3检出限和检测上限:简要介绍评价方法、所用样本情况以及评价结果。
8.4分析特异性
8.5.1干扰试验:说明验证的干扰物质种类及有/无干扰反应的浓度水平。
8.5.2 交叉反应:说明验证的交叉物质,及有/无交叉反应的浓度水平。
8.6临床试验:介绍试验方法、受试者及样本、试验结果和结论等。
9.【注意事项】应至少包括以下内容:
9.1本产品仅用于体外诊断。
9.2如该产品含有人源或动物源性物质,应给出具有潜在感染性的警告。
9.3临床实验室应严格按照《医疗机构临床基因扩增实验室管理办法》等有关分子生物学实验室、临床基因扩增实验室的管理规范执行。
9.4避免实验室污染的措施。
(六)质量管理体系文件
申请人应当在申请注册时提交与产品研制、生产有关的质量管理体系相关资料。详述产品的生产过程,提供生产工艺流程图。明确申报产品反应及检测原理和过程,标明主要控制点与项目及主要原材料、采购件的来源及质量控制方法。
如适用,应当提供拟核查产品与既往已通过核查产品在生产条件、生产工艺等方面的对比说明。
三、参考文献
[1]药物代谢酶和药物作用靶点基因检测技术指南(试行)
[2]Drug Metabolizing Enzyme Genotyping System - Class II Special Controls Guidance for Industry and FDA Staff.
[3]中华医学会心血管病学分会,中华心血管病杂志编辑委员会.稳定性冠心病诊断与治疗指南[J].中华心血管病杂志,2018,46(9):680-694.
[4] 中华医学会心血管病学分会,中华心血管病杂志编辑委员会.硝酸酯在心血管疾病中规范化应用的专家共识[J].中华心血管病杂志,2010,38(9):770-774.

站点声明:
本网站所提供的信息仅供参考之用,并不代表本网赞同其观点,也不代表本网对其真实性负责。图片版权归原作者所有,如有侵权请联系我们,我们立刻删除。如有关于作品内容、版权或其它问题请于作品发表后的30日内与本站联系,本网将迅速给您回应并做相关处理。
北京飞速度医疗科技有限公司专注于医疗器械、诊断试剂产品政策与法规规事务服务,提供产品注册申报代理、临床合同(CRO)研究、产品研发、GMP质量辅导等方面的技术外包服务。
ONE-STOP SERVICE
免费赠送3万家医疗器械企业名录